معیار کِلی Kelly Criterion
| Term | شرح |
|---|---|
| معیار کِلی Kelly Criterion | معیار کلی (Kelly Criterion) فرمولی ریاضی است که در سال ۱۹۵۶ توسط جان ال. کلی جونیور در آزمایشگاههای بل (Bell Labs) شرکت AT&T طراحی شد. هدف این فرمول مشخصکردن حجم بهینهٔ سرمایهگذاری در یک معامله یا دارایی است تا رشد ثروت در بلندمدت بیشینه شود. معیار کِلی (Kelly Criterion) چیست؟در اصل، این معیار برای دنیای قمار طراحی شده بود تا بازیکنان بدانند چه مقدار از سرمایهشان را باید روی یک شرطبندی بگذارند. بعدها سرمایهگذاران و معاملهگران از همین منطق برای تعیین سایز پوزیشن (Position Size) در معاملات استفاده کردند. معیار کلی چگونه کار میکند؟Kelly Criterion براساس دو ورودی اصلی کار میکند:
این فرمول کمک میکند تعیین کنیم چه درصدی از سرمایه باید در یک معامله قرار گیرد تا رشد مرکب با بیشترین سرعت انجام شود، بدون اینکه ریسک نابودی سرمایه بیش از حد بالا برود. کاربرد معیار کلی در سرمایهگذاریاگرچه معیار کلی ابزار مفیدی برای مشخصکردن درصد مطلوب سرمایهگذاری در یک معاملهٔ واحد است، اما:
به همین دلیل بسیاری از معاملهگران نسخهٔ نیمکلی (Half Kelly) یا یکچهارم کلی را برای کاهش نوسان پورتفو استفاده میکنند. محدودیتها و انتقادهااقتصاددانان و مدیران سرمایهگذاری اشاره میکنند که معیار کلی، اگرچه از نظر ریاضی بهینه است، اما:
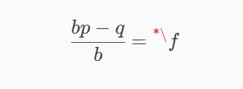
به همین دلیل استفاده از آن بهتنهایی توصیه نمیشود. نکات کلیدی۱. معیار کلی در ۱۹۵۶ توسط جان کلی طراحی شدهدف آن تعیین اندازهٔ سرمایهگذاری برای حداکثر رشد بلندمدت است. ۲. ریشهٔ آن در دنیای قمار استاما بعدها در معاملات و سرمایهگذاری بسیار محبوب شد. ۳. ورودیهای فرمول: احتمال برد و نسبت سود/زیاناین دو متغیر درصد سرمایهگذاری بهینه را تعیین میکنند. ۴. بهتنهایی یک استراتژی کامل نیستتنوعسازی، ریسکپذیری، و نوسانات واقعی بازار را در نظر نمیگیرد. ۵. برخی اقتصاددانان نقد دارندچون شرایط واقعی سرمایهگذاران متفاوت است و معیار کلی گاهی بسیار تهاجمی عمل میکند. فرمول Kelly Criterionفرمول اصلی معیار کلی برای تعیین درصد بهینهٔ سرمایهگذاری این است:
توضیح اجزای فرمولهر متغیر در فرمول معنای مشخصی دارد:
یعنی اگر در صورت برد، مثلاً 2 برابر مبلغ ضرر بالقوه سود میکنی → b=2 چطور کار میکند؟فرمول بررسی میکند که:
چقدر از سرمایه باید وارد معامله شود تا رشد مرکب ثروت بیشینه گردد.
کلیک ها - 49
Synonyms:
معیار کِلی,Kelly Criterion |

