نرخ رشد داخلی Internal Growth Rate
| Term | شرح |
|---|---|
| نرخ رشد داخلی Internal Growth Rate | نرخ رشد داخلی حداکثر سرعتی است که یک شرکت میتواند بهصورت ارگانیک رشد کند، بدون اینکه نیاز به جذب سرمایه اضافی از منابع خارجی داشته باشد. به عبارت دیگر، این نرخ نشاندهنده سطحی از عملیات تجاری است که میتواند با منابع داخلی شرکت، تأمین مالی و توسعه یابد. نرخ رشد داخلی (Internal Growth Rate - IGR) چیست؟اهمیت نرخ رشد داخلی در این است که به سرمایهگذاران و تحلیلگران کمک میکند بفهمند شرکت تا چه حد میتواند با استفاده از منابع مالی خود رشد کند. همچنین این نرخ برای ارزیابی سلامت تصمیمات مالی شرکت کاربرد دارد. نکات کلیدی
مثالهای کاربردی
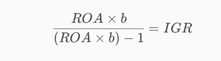
✅ فرمول نرخ رشد داخلی (IGR)
![]() که در آن:
b=1−نسبت پرداخت سود سهام (Dividend Payout Ratio) ✅ مثال عددیفرض کنید:
محاسبه:
یعنی شرکت میتواند حداکثر ۶.۳۸٪ رشد داخلی داشته باشد بدون جذب سرمایه خارجی. ✅ نموداربرای نمایش نمودار، محورهای زیر را در نظر میگیریم:
✅ تحلیل نمودار:
کلیک ها - 53
Synonyms:
نرخ رشد داخلی,Internal Growth Rate,IGR |


