رویکرد معادل مستمری سالانه Equivalent Annual Annuity
| Term | شرح | |||||||||
|---|---|---|---|---|---|---|---|---|---|---|
| رویکرد معادل مستمری سالانه Equivalent Annual Annuity | رویکرد معادل مستمری سالانه (EAA) یکی از دو روشی است که در بودجه بندی سرمایهای برای مقایسه پروژههای ناسازگار با طول عمر نابرابر استفاده میشود. رویکرد EAA جریان نقدی سالانه ثابت ایجاد شده توسط یک پروژه را در طول عمر آن، در صورت وجود مستمری، محاسبه میکند. هنگامی که برای مقایسه پروژههایی با طول عمر نابرابر استفاده میشود، یک سرمایهگذار باید پروژهای را انتخاب کند که EAA بالاتری دارد. رویکرد معادل مستمری سالانه (EAA) چیست؟رویکرد معادل مستمری سالانه یا Equivalent Annual Annuity (EAA) روشی در تحلیل مالی است که برای مقایسه پروژههایی با عمرهای متفاوت استفاده میشود. این روش ارزش فعلی خالص (NPV) پروژه را به یک جریان نقدی سالانه ثابت تبدیل میکند، تا بتوان پروژهها را بهصورت منصفانه مقایسه کرد. فرمول EAA:
که در آن:
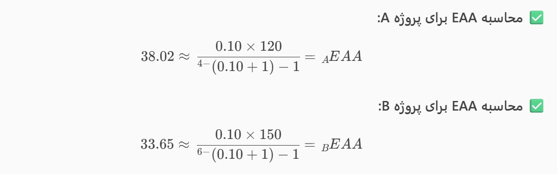
مثال عددی:فرض کنید دو پروژه داریم:
نرخ تنزیل را ۱۰٪ در نظر میگیریم.
نتیجه:با اینکه پروژه B دارای NPV بالاتری است، اما پروژه A EAA بالاتری دارد، یعنی در هر سال بهطور متوسط بازده بیشتری ایجاد میکند. بنابراین، اگر پروژهها قابل تکرار باشند، پروژه A گزینه بهتری است. نکات کلیدی
کلیک ها - 157
Synonyms:
رویکرد معادل مستمری سالانه,Equivalent Annual Annuity,EAA |

