روش کمترین مربعات Least Squares Method
| Term | شرح | ||||||||||||||||||
|---|---|---|---|---|---|---|---|---|---|---|---|---|---|---|---|---|---|---|---|
| روش کمترین مربعات Least Squares Method | روش کمترین مربعات یک روش تحلیل رگرسیون ریاضی است که برای انتخاب بهترین خط روند (Trend Line) استفاده میشود؛ خطی که بتواند یک مجموعه داده را روی نمودار به بهترین شکل نمایش دهد.
روش کمترین مربعات (Least Squares Method) چیست؟به بیان ساده، این روش تعیین میکند خط بهترین برازش (Line of Best Fit) کدام است. در این روش، هر نقطه داده، نشاندهنده رابطه بین یک متغیر مستقلِ شناختهشده (Independent Variable) و یک متغیر وابسته ناشناخته (Dependent Variable) است. این روش بهطور گسترده توسط تحلیلگران و معاملهگران بازار سهام برای شناسایی الگوها، روندها و فرصتهای معاملاتی استفاده میشود. نکات کلیدی درباره روش کمترین مربعات
مثال عددی کاملفرض کنید دادههای زیر رابطه بین متغیر مستقل X و متغیر وابسته Y را نشان میدهند:
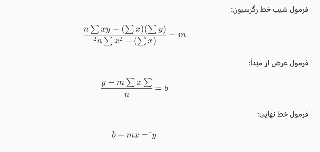
فرمولهای روش کمترین مربعات
نتیجه محاسبات (با استفاده از کد اجرا شده)
پس خط بهترین برازش: y^=0.94x+0.65
کلیک ها - 31
Synonyms:
روش کمترین مربعات,Least Squares Method |

