بازده مورد انتظار Expected Return
| Term | شرح | ||||||||||||
|---|---|---|---|---|---|---|---|---|---|---|---|---|---|
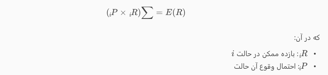
| بازده مورد انتظار Expected Return | بازده مورد انتظار، سود یا زیانی است که یک سرمایه گذار بر اساس نرخ بازده تاریخی (RoR) از یک سرمایهگذاری پیشبینی میکند. بازده مورد انتظار تضمین شده نیست، اما دادههای تاریخی انتظارات معقولی را تعیین میکنند. بنابراین، رقم بازده مورد انتظار را میتوان میانگین وزنی بلندمدت بازدههای تاریخی در نظر گرفت. بازده مورد انتظار چیست؟بازده مورد انتظار (Expected Return) مفهومی در مالی است که نشان میدهد میانگین بازدهی که یک سرمایهگذار میتواند از یک دارایی یا سبد داراییها انتظار داشته باشد، چقدر است. این مقدار بر اساس سناریوهای مختلف و احتمال وقوع هرکدام محاسبه میشود. فرمول بازده مورد انتظار:
مثال عددی:فرض کنید یک سرمایهگذار سهام شرکتی را خریداری کرده و سه سناریو برای بازده آن در نظر دارد:
محاسبه بازده مورد انتظار: E(R)=(0.20×0.3)+(0.10×0.5)+(−0.05×0.2)=0.06+0.05−0.01=0.10=10% یعنی سرمایهگذار بهطور میانگین انتظار دارد ۱۰٪ بازده از این سرمایهگذاری کسب کند. کاربردها:
نکات کلیدی
کلیک ها - 188
Synonyms:
بازده مورد انتظار,Expected Return |
